An efficient volume scan polarimetric radar forward OPERAtor to improve the representaTION of HYDROMETEORS in the COSMO model (Operation Hydrometeors)
Joint project between
University of Bonn and Deutscher Wetterdienst (DWD)
Phase 1
University of Bonn: Velibor Pejcic (PhD student), Silke Trömel (PI) and Clemens Simmer (PI)
DWD: Jana Mendrok (Scientist), Ulrich Blahak (PI)
Phase 2
University of Bonn: Velibor Pejcic (PhD student), Julian Steinheuer (PostDoc), Silke Trömel (PI) and Clemens Simmer (PI)
DWD: Kobra Khosravian (Scientist), Ulrich Blahak (PI)
Abstract
Operation Hydrometeors provides an efficient polarimetric forward operator required for the fusion of radar polarimetry and atmospheric modelling. The non-polarimetric forward operator (EMVORADO), used in Germans weather service models COSMO and ICON-LAM, will be extended to polarimetry assuming spheroids at precipitation radar wavelengths. This enables to generate synthetic volume scans of polarimetric observables based on the simulated model state and use it for evaluate and improve the hydrometeor (HM) types and size representation.
The evaluation with the state-of-the-art hydrometeor classification (HMC) schemes with modelled hydrometeors is challenging due to different hydrometeor type definitions and numbers and difficulties to identify dominant types in hydrometeor mixtures. Therefor, a dual strategy to evaluate the hydrometeor type representation in COSMO/ICON-LAM is suggested, based on advanced radar-based hydrometeor typing and a direct comparison of multivariate observed and synthetic polarimetric signal distributions.
Status 2024
In Phase 2 Operation Hydrometeors continues to deal with the representation of hydrometeor types and properties in the ICON-LAM model with two-moment microphysics (Seifert and Beheng, 2005) in km resolution. At DWD, this model has recently been put into operation as part of the DWD's new Seamless INtegrated FOrecastiNg sYstem (SINFONY7). Phase 2 of Operation Hydrometeors refines the instruments and methods developed in Phase 1, such as hydrometeor classification (Trömel et al., 2023), EMVORADO (Blahak et al., 2020), the non-polarimetric data assimilation cycle for case studies and uses a dual strategy (Shrestha et al., 2022) for model evaluation with polarimetric radar observations. This involves further analyzing those stratiform precipitation days that were previously selected in phase 1 in order to monitor how new changes in the model are reflected in the known case studies. In addition, the analyses are extended to convective precipitation events to evaluate and improve the representation of polarimetric process signatures such as ZDR columns, KDP bands in the dendritic growth layer and low-level ZDR in ICON.
Contribution of University of Bonn
One important shortcoming in the transition from the 1-moment sheme to the 2-moment scheme in ICON was the deviation of the predicted Z-R relation from radar and rain gauge measurements, especially in winter when stratiform situations prevail, which was related to problems in the microphysics of frozen hydrometeorites. The results of phase 1 demonstrated a tendency of ICON 2-moment scheme to predict too much and too large graupel in stratiform weather situations.
To overcome this, the microphysics in ICON was modified and some changes were made to the melting scheme of EMVORADO. For instance, the collision efficiency of graupel has been reduced, its falling speed increased and its formation limited to altitudes above the $-3^\circ\text{C}$ level. On the other hand, the sticking efficiency of snow has been made temperature-dependent and its falling speed has been reduced. The collision efficiency of wet graupel was increased and the graupel wet growth limit has been lowered from $-10^\circ\text{C}$ to $-3^\circ\text{C}$.
In accordance with the dual strategy, we checked the polarimetric signals of the modelled hydrometeors using EMVORADO and compared them with the actual radar observations. Figure 1 shows the quasi vertical profiles (QVPs) of the polarimetric moments from $12^\circ$ PPIs of the stratiform precipitation day 25 July 2017, 00:00 to 10:00 in Prötzel, with observations (top row), phase 1 model (middle row), and refined phase 2 model (bottom row).
The observations show a clearly pronounced melting layer (ML) at an altitude of around $3\,\text{km}$, which is especially distinctive in RHO_HV, and also evident in ZH and ZDR. Below it, there is predominantly moderate rain with not too big drops, leading to moderate ZH and ZDR. In comparison, the phase 1 model gives a rather smeared ML that extends too high in altitude and the values of ZH and ZDR are too high. There is also an unrealistically high impact in KDP. Below the ML, the ZDR values are clearly too high, which can be attributed to the graupel surviving too long and being too large, which is then melted into excessively large raindrops.
Figure 1: QVPs (from $12^\circ$ PPIs) of observed (top) and synthetic (middle: phase 1 model, bottom: phase 2 model) moments: ZH (left), ZDR (left center), KDP (right center), and RHO_HV (right). The data are from July 25, 2017 at the C-band station Prötzel (near Berlin). Contour lines indicate ZH and temperature.
These deviations are addressed in the phase 2 model: The ML is generally finer and especially more pronounced at the top. The streak intensity is reduced in both the ZH and the ZDR. The remaining ZH curtains can be attributed to the rain, but the removed graupel overpruduction provides much more realistic values in polarimetric space.
The second validation path, following the dual strategy, is the comparison of the modelled hydrometeors with microphysical retrievals based on the polarimetric observations. In this case, the individual hydrometeor classes cannot be opposed, but the comparison takes place in bunched classes - depending on whether the hydrometeor is frozen or liquid. Figure 2 shows contour frequency temperature diagrams (CFTDs) for an ice microphysical retrieval (Carlin et al., 2021) based on the observations. The phase 1 model (middle row) and the phase 2 model (bottom row) are again shown for comparison, with a total ice class combining the model classes of graupel, hail, ice and snow. The data basis is formed by all $12^\circ$ PPIs of the German radar network from 25 July 2017.
Figure 2: CFTDs of QVPs based (from $12^\circ$ PPIs) of Dm (left), IWC (center), and Nt (right) above the melting layer for all DWD C-band radar on July 25, 2017, with results based on ice microphysical retrievals from observations (top), and quantities for total ice from model (middle: phase 1 model, bottom: phase 2 model).
Mean volume diameter of the total ice particles (left column), ice water content (middle column) and number concentration (right column) are given. Compared to observation, the phase 1 model shows diameters that are much too large in the ranges between $-20^\circ\text{C}$ and $-7^\circ\text{C}$. The modelled aggregation is too strong and too large snow is formed. Below this and down to the ML, the diameters drop too much. Too much graupel is produced here because the riming is too strong, as can be seen from the excessively high IWC increase. The bulk density of the graupel is higher than that of snow, which leads to the excessive diameter drop. Around the ML, the decrease in IWC and Nt appears realistic, as the accelerated fall velocities here reduce the hydrometeor proportion per volume. The Phase 2 model shows both generally smaller diameters and a more regular increase in IWC towards the ML, i.e. less riming. Although the distribution of the number concentration looks slightly skewed, the overall appearance of the distributions is improved.
A key focus of phase 2 is the validation of ICON in convective events. In the polarimetric radar observations, ZDR columns indicate areas of increased convectivity, as they are evidence of liquid rain brought above the $0^\circ\text{C}$ level by strong updrafts. They are of high interest for nowcasting as they are a signal for extreme precipitation, however, their representation in the model is difficult. For this reason, it is of crucial interest that such signatures can also be displayed distinctly by ICON.
Figure 3: PPIs from $1.5^\circ$ elevation (top row) and pseudo RHIs form $230.5^\circ$ azimuth (bottom row) at 15:00 UTC on May 20, 2022, from Flechtdorf with simulated (phase 2 model) polarimetric moments (from left to right: top: ZH, ZDR, KDP, RHO; bottom: ZH, ZDR, KDP) and simulated vertical winds (bottom right). The black ring indicates the area of ZDR-column, and the black line the $230.5^\circ$ azimuth direction.
May 20, 2022 was a convective day with many storms in Germany and even some tornadoes, for example in the region covered by the Flechtdorf radar. PPIs of simulated polarimetric moments from this day are given in Fig. 3. The high values in ZH indicate the presence of convective activity and the discernible ring structure in RHO and ZDR provide the $0^\circ\text{C}$ region. An area with increased ZDR values can be recognized in the south-eastern edge area (circled in black). Pseudo RHI in this direction provide the corresponding vertical structures and show indeed increased values in ZH, but also in ZDR and KDP up to a height of approx. $12\,\text{km}$. Furthermore, the vertical wind shows an updraft that extends to this level. Hence, a ZDR column is present, although the ZDR values are relatively small and would not be classified as significant in actual radar observations.
Figure 4: Pseudo RHIs form $230.5^\circ$ azimuth at 15:00 UTC on May 20, 2022, from Flechtdorf with simulated (phase 2 model) specific number concentrations for rain (top left), graupel (top center), and hail (top right). Below, the corresponding median volume diameters ar given (bottom).
To check which hydrometeors cause the polarimetric signatures, the specific number concentrations of rain, graupel and hail are given in Fig. 4. All of the three hydrometeors are present, with graupel being the most prevalent and rain not reaching out as high. The median volume diameters show that the raindrops are quite small. This also means that they tend to be round and therefore do not deliver a high ZDR. By contrast, graupel and hail are assumed to be rather spherical, which is why the ZDR values are so low. Nevertheless, the result is promising, as both a striking updraft was generated and a ZDR column was produced. Although the updraft does not correspond to realistic core updrafts, it is still striking as we have to note it is only a representative value for a grid area. Ongoing research will show to what extent large raindrops can also be dragged along in the updraft in the model, or remain in the liquid phase for longer.
Contribution of Deutscher Wetterdienst
Radar data assimilation has been operationally used in the short-range ensemble numerical weather prediction (SRNWP) system (ICON-D2-KENDA LETKF system) at DWD since 2020, with radial wind data assimilated from March 2020 and reflectivity data from June 2020. Currently, there are two operational ICON-D2-KENDA systems at DWD. The newest system, ICON-RUC (operational since January 2024), focuses primarily on convective events during the summertime, aiming to produce a seamless, integrated forecasting system with a primary emphasis on short-term forecasts. The model employs the two-moment (2-mom) microphysics scheme with hourly assimilation and produces hourly forecast runs up to 14 hours. There are six hydrometeors in the control vector of the assimilation cycle, including the mixing ratios of snow, rain, graupel, hail, and water and ice clouds. Additionally, the number concentrations of these hydrometeors receive indirect updates after the assimilation cycle as follows: $\Delta q_{nx} = \Delta q_x$. $(N/q_x)$ where $\Delta q_{nx}$ is the updated number concentration of hydrometeros and $\Delta q_{nx}$ is the updated mixing ratio of the each hydrometeros after assimilation cycle. It has been demonstrated that assimilating radar reflectivity, combined with the 2-mom microphysics and including the hydrometeor mixing ratios in the control vector, significantly impacts reflectivity and precipitation assimilation—two critical parameters for short-term forecasting. The goal of this project is to enhance radar assimilation in DWD's framework by incorporating polarimetric radar variables, in addition to reflectivity and radial wind.
The differential reflectivity (ZDR), defined as the ratio of the horizontally polarized radar beam to the vertically polarized radar beam, expressed as: $10\log_{10}(Z_h/Z_v)$, has been chosen as the first variable to analyze and investigate for polarimetric radar assimilation. Using ZDR, a feature called the ZDR column is defined, referring to a region where ZDR values are notably high above the melting layer. In this column, strong updrafts can loft rainwater above the melting layer, resulting in super-cooled water droplets that yield large positive ZDR values. ZDR columns typically occur within thunderstorms and can serve as early indicators of heavy precipitation, large hail, or even tornadoes (Snyder et. al., 2015, Kumjian et. al., 2014). Thus, they are valuable tools for issuing timely short-term forecasts or warnings for severe weather events.
While real observations show ZDR values within a ZDR column reaching 3 to 4 above the melting layer (Snyder et. al., 2015, Kumjian et. al., 2014), achieving such high values in simulations is challenging due to significant uncertainties in model microphysics and observation operators. Previous studies at DWD (Operation Hydrometeors phase 1) have demonstrated a large discrepancy between observed and simulated ZDR, particularly above the melting layer. Due to these challenges and the higher uncertainty associated with observed polarimetric radar parameters compared to reflectivity, it was decided to utilize synthetic data within an OSSE framework to first analyze the potential of the data assimilation system, including ICON-RUC and EMVORADO, to incorporate ZDR column assimilation.
The OSSE system structure used in our analysis is illustrated in Fig. 1. Synthetic observations were created using a nature run, defined as a free forecast run without data assimilation. The OSSE system was first tested with reflectivity data, demonstrating that it functions correctly. As an example, one feature tested with the OSSE system was the effect of increasing ensemble spread on the assimilation cycle. For this, a nature run was initialized at 00 UTC, with a 12-hour pre-run before generating synthetic observations. The nature run employed ICON-RUC settings, ICON-EU boundary data, and initial data provided by the operational ICON-RUC run. For the assimilation run, instead of directly using ICON-RUC initial data, a 6-hour pre-run without assimilation was conducted to increase model uncertainty. This approach ensured that the initial data significantly differed from the synthetic observations, making the effects of assimilation more evident. The same boundary conditions were used in the assimilation run as in the nature run. As shown in Fig. 2, increasing ensemble spread helped the assimilation system capture cells missed by the model.
Figure 1: The structure of the OSSE system used to study the ZDR assimilation using synthetic observation.
However, the 6-hour pre-run without assimilation also increased model non-linearity, resulting in noisier assimilated reflectivity – a problem similar to that observed with real reflectivity data. After verifying the OSSE system with reflectivity, we selected a convective case to study ZDR column assimilation. The selected case occurred on May 20, 2022, when a tornado was reported in Paderborn at around 15 UTC. To create the synthetic observation, the nature run began at 07 UTC, with a 9-hour pre-run. The simulated reflectivity at 16 UTC was used to create the synthetic reflectivity and ZDR. The ICON-D2 model, with 2-mom microphysics and approximately 2 km resolution, was used for the nature run. Initial data and boundary data was taken from ICON-RUC and ICON-EU respectively. For further analysis, reflectivity and ZDR outputs were generated on ICON model grid points. Fig. 3 shows reflectivity and ZDR at the model's grid points and at level 64, near the surface.
Figure 2: Radar reflectivity composite: Observed reflectivity (left), simulated reflectivity from the default data assimilation system.
Figure 3: Reflectivity (left) and ZDR (right) at model level 64 over ICON-D2 domain, simulated for 15 UTC on May 20, 2022.
An algorithm was developed to detect ZDR columns based on simulated ZDR and reflectivity. The algorithm first identifies the $0^\circ\text{C}$ level and examines a $1\,\text{km}$ column ($500\,\text{m}$ above and below the melting layer). Within this column, ZDR columns are identified if reflectivity exceeds $25\,\text{dBZ}$ and ZDR exceeds $0.5\,\text{dB}$. However, these thresholds, particularly for ZDR, differ significantly from previous studies. The primary reason is that the ICON model combined with EMVORADO fails to produce sufficient ZDR values above the melting layer. Simulated ZDR values are typically below $1\,\text{dB}$, likely because the model cannot generate sufficiently large super-cooled water droplets or loft them high enough above the melting layer.
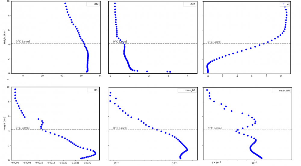
To validate the algorithm's identified columns, vertical profiles of parameters such as reflectivity, ZDR, wind, mixing ratios, and mean diameters of hydrometeors were analyzed. Fig. 4 illustrates a case where reflectivity exceeded $50\,\text{dBZ}$ above the melting layer, but ZDR values remained below $1\,\text{dB}$ and quickly decreased to near zero. Despite vertical velocities exceeding $10\,\text{m/s}$, indicative of strong updrafts, the mean-mass diameter of raindrops above the melting layer was less than $1\,\text{mm}$.
To address these issues, we did several experiments with various microphysics settings to increase droplet size; however, the impact was minimal. The different microphysics settings tested included: increasing the size of aerosol nuclei by a factor of $5$, disabling the raindrop breakup process (Seifert et al. 2008) during rain droplet growth and increasing the probability collision of rain droplet by a factor of $2$.
Figure 4: Profiles of reflectivity, ZDR, and vertical wind (top row), along with rain mixing ratio, mean raindrop diameter, and mean hail diameter (bottom row), for a detected ZDR column case.
Figure 5: Relationship between ZDR values and bulk mean-mass raindrop size produced by EMVORADO, with temeprarure variations (color-coded). Trends are shown separately for in-cloud (small circles) and off-cloud (large circle) conditions.
Next, we investigated the ZDR contribution from each hydrometeor, focusing on water droplets. Fig. 5 depicts the mean-mass diameter of raindrops versus ZDR values generated by EMVORADO. Different colors represent trends for varying temperatures, with separate trends for in-cloud and off-cloud conditions. Discrepancies arise from the ICON model's drop-size distribution: a modified gamma distribution with a variable $\mu$ parameter is used off-cloud (Seifert et al. 2008), while a fixed $\mu$ value of $5$ is applied in-cloud.
The fixed $\mu$ value for in-cloud distribution, assumed for all cloud types, temperatures, and water content, is clearly inadequate. This parametrization is limited by insufficient observational data on cloud water size distributions. As shown in Fig. 5, when the in-cloud distribution is applied, ZDR values for the droplets of about $1\,\text{mm}$ decrease from $\approx\,2\text{dB}$ (off-cloud) to less than $1\,\text{dB}$ (in-cloud). Since convective events usually involve thick cumulonimbus clouds, the in-cloud distribution predominates, leading to low ZDR values above the melting layer. Improving the in-cloud drop-size distribution parametrization is essential for addressing these issues.
We are currently working on improving ZDR values above the melting layer by enhancing the drop-size distribution inside clouds and identifying other factors that may influence ZDR values in this region.
References
- Kumjian M. R., A. P. Khain, N. Benmoshe, E. Ilotoviz, A. V. Ryzhkov, and V. T. J. Phillips, (2014). “The Anatomy and Physics of ZDR Columns: Investigating a Polarimetric Radar Signature with a Spectral Bin Microphysical Model”. J. Appl. Meteor. Climatol., 53, 1820–1843, https://doi.org/10.1175/JAMC-D-13-0354.1.
- Snyder, J. C., A. V. Ryzhkov, M. R. Kumjian, A. P. Khain, and J. Picca, (2015). „A ZDR Column Detection Algorithm to Examine Convective Storm Updrafts“. Wea. Forecasting, 30, 1819–1844, https://doi.org/10.1175/WAF-D-15-0068.1.
- Seifert, A., 2008: On the Parameterization of Evaporation of Raindrops as Simulated by a One-Dimensional Rainshaft Model. J. Atmos. Sci., 65, 3608–3619, https://doi.org/10.1175/2008JAS2586.1.
- Blahak, U., A. de Lozar, and J. Mendrok, 2020: EMVORADO — Efficient Modular VOlume scan RADar Operator, In: A User’s Guide.
- Carlin, J. T., H. D. Reeves, and A. Ryzhkov, 2021: Polarimetric Observations and Simulations of Sublimating Snow: Implications for Nowcasting, In: Journal of Applied Meteorology and Climatology, http://dx.doi.org/10.1175/JAMC-D-21-0038.1.
- Seifert, A. and K. D. Beheng, 2005: A two-moment cloud microphysics parameterization for mixed-phase clouds. Part 1: Model description, In: Meteorology and Atmospheric Physics 92.1–2, pp. 45–66, 10.1007/s00703- 005- 0112- 4, http://dx.doi.org/10.1007/s00703-005-0112-4.
- Shrestha, P., J. Mendrok, V. Pejcic, S. Trömel, U. Blahak, and J. T. Carlin, 2022: Evaluation of the COSMO model (v5.1) in polarimetric radar space – impact of uncertainties in model microphysics, retrievals and forward operators, In: Geoscientific Model Development 15.1, pp. 291–313, http://dx.doi.org/10.5194/gmd-15-291-2022.
- Trömel, S., U. h Blahak, R. Evaristo, J. Mendrok, L. Neef, V. Pejcic, T. Scharbach, P. r Shrestha, and C. Simmer, 2023: Fusion of radar polarimetry and atmospheric modeling, In: Advances in Weather Radar, Volume 2: Precipitation science, scattering and processing algorithms. Institution of Engineering and Technology, pp. 293–344, http://dx.doi.org/10.1049/SBRA557G_ch7.
Status 2021
Contribution of University of Bonn
The cluster-based hydrometeor classification (HMC) by Pejcic et al. (2021; HMC-Pejcic) enables us to determine, in addition to the dominant hydrometeor class, hydrometeor partitioning ratios (PR, Besic et al. 2018) defined as the relative mass contribution of a specific hydrometeor class. This extension is exploited for a more detailed evaluation of the representation of hydrometeors in ICON. HMC-Pejcic is a two-step method. In the first step, the Agglomerative Hierarchical Clustering (Ward et al. 1963) is applied to cluster the radar observations based on their similarity with respect to the five-dimensional observational state (i.e. the polarimetric variables horizontal reflectivity Zh, differential reflectivity Zdr, specific differential phase Kdp, cross-correlation coefficient hv and the non-polarimetric temperature indicator). After clustering, state-of-the-art HMC by Dolan and Rutledge (2009; HMC-Dolan) and Zrnic et al. (2001) adapted by Evaristo et al. (2009; HMC-Zrnic) are applied to specify the hydrometeor types of the clusters and to group them into hydrometeor classes comparable to the ones considered in the ICON model (Ice, Snow, Rain, Graupel, Hail and Wet Snow). In the second step, the centroids and the covariances from the multidimensional clusters are used to derive the hydrometeor PR for each hydrometeor class. In contrast to Besic et al. (2018), we use the multidimensional normal distribution instead of the exponential distribution required for the PR-determination. Thus, no synthetic data set and no parametrisation is required to derive the PR.
Figure 1: Profiles of fractional occurrence of rain, ice, snow, graupel, hail and wet snow (colors indicated in legend) as dominant hydrometeor type on 10 August 2017, estimated with HMC-Pejcic for observed (left) and synthetic polarimetric variables (center) at X-Band. Profiles of the direct ICON-simulated partitioning of mass mixing ratios q are shown for comparison (right).
Figure 1 shows resulting profiles of dominant hydrometeor class fractional occurrence while Figure 2 presents the profiles of HM PR (melting snow is not shown) for a stratiform event with embedded convection. The mass-mixing-ratio-based ranking and the HMC of the synthetic observations reveal an overestimation of hail and graupel. In the model, snow predominates over ice up to higher altitudes (-20oC) compared to observations (-15◦C). First comparison of observed and synthetic polarimetric variables for each individual HM class show an overestimation of Zh and Zdr in rain. The comparison between graupel and snow reveals a much wider distribution for Kdp and Zdr for graupel than for snow.
Figure 2: Vertical distribution of HM class partitioning ratios for a stratiform event observed on 10 August 2017. The ICON partitioning ratios derived from the modeled mass-mixing-ratios (upper row) are shown together with the radar-based HMC-Pejcic retrieval (lower row). Overlaid black lines indicate the mean ratio at each height.
Contribution of DWD
Our work during the first half of the project focused on extending DWD‘s operational radar forward operator (FO) EMVORADO, which can be online-coupled to the NWP models COSMO and ICON, with the capability to calculate polarimetric parameters (Zdr, ρhv, Kdp, Φdp, Adp, Ldr) based on the T-matrix method and to handle hydrometeors as spheroidal-shaped scatterers with shape and orientation as suggested by Ryzhkov et al. (2011). This includes all advanced features from the original FO (Zeng et al. 2016) such as automatic generation and use of efficient lookup tables, melting layer (based on the existing melting scheme by Blahak (2016)), effects of attenuation along the radar beam, beam function smoothing, an online ray tracing option and (partial) beam blockage effects.
EMVORADO’s primary goal is to provide synthetic observations for large radar networks in form of 3D volume scans, emulating the “real” individual scan strategies of each radar station. As intermediate step, (unattenuated) radar parameters on the NWP model’s grid can also be output. Simulating PPI-like (Plan Position Indicator) volume scans allows for example to derive Quasi-Vertical Profiles (QVPs) the same way as for the observations and thus enables direct comparisons between data from real and simulated observations. An example can be seen in Figure 3.
Figure 3: Observed (top) and simulated (bottom) time series of QVPs as function of height for reflectivity Zh (left) and differential reflectivity Zdr (right) for a stratiform event on 10 August 2017, monitored by the DWD C-Band radar Offenthal at elevation angle of 8°. The simulation includes vertical beam function averaging.
An early version without the polarimetric lookup tables was released to PROM partners in January 2021 and the full version will be released along with the corresponding paper (Mendrok 2021). For online-coupling to COSMO and ICON, EMVORADO is directly compiled into the model binary and is therefore part of the git-repositories of both models [1], [2]. A stand-alone offline framework that accesses one time slice of model state variables from disk at a time is available from another git-repository [3].
The usage of lookup tables in EMVORADO is key to time-critical applications like data assimilation (DA) and to process large datasets for model evaluation, because, for example, runtimes for the simulation of the 16 German radars are reduced from the order of days to weeks (without lookup tables) to a few seconds.
Together with our project partners of University of Bonn (see above) and in close collaboration with the ILACPR project, the polarimetric FOs EMVORADO and B-PRO (Xie et al. 2021) have been applied to simultaneously study the impact of uncertainties in model microphysics, retrievals, and forward operators on model evaluations (Shrestha et al. 2021).
These studies revealed serious limitations of the spheroidal particle assumptions as made in order to apply the T-matrix scattering method. Specifically, the polarimetric signatures of “fluffy'', low density particles like dry snow aggregates are seriously underestimated, as can be seen in Figure 3 in the possibly snow-dominated region above the melting layer (blue annotation) and as explained by Schrom and Kumjian (2018). Other state-of-the-art polarimetric FOs (e.g. Matsui et al. 2019; Oue et al. 2020) suffer from similar issues. Also, melting-layer signatures in Zdr were found to be somewhat weak and too-low-in-altitude (black annotation), a problem that will be tackled during the remainder of the project.
To this end, the synthetic radar variables are compared to the observations from X- and C-Band radars during longer time periods (several days). To keep the model states as close to the observations (which is very important), we assimilate meteorological standard observations, radial wind and reflectivity into an hourly ICON-KENDA LETKF data assimilation cycle instead of just doing free forecasts.
References
- [1] git@github.com:COSMO-ORG/cosmo.git
- [2] git@gitlab.dkrz.de:icon/icon-nwp.git, branch icon-nwp/icon-nwp-dev
- [3] git@gitlab.dkrz.de:dace_projects/emvorado-offline.git, incl. dev-branches
- Blahak, U., 2016: RADAR_MIE_LM and RADAR_MIELIB - Calculation of Radar Reflectivity from Model Output, COSMO Technical Report 28, Consortium for Small Scale Modeling (COSMO), http://www.cosmo-model.org/content/model/documentation/techReports/docs/techReport28.pdf.
- Besic, N., J. Gehring, C. Praz, J. Figueras i Ventura, J. Grazioli, M. Gabella, U. Germann, and A. Berne, 2018: Unraveling hydrometeor mixtures in polarimetric radar measurements, Atmospheric Measurement Techniques, 11, 4847–4866, https://doi.org/10.5194/amt-11-4847-2018.
- Dolan, B., and S.A. Rutledge, 2009: A theory-based hydrometeor identification algorithm for X-band polarimetric radars, J. Atmos. Oceanic Technol., 26, 2071–2088.
- Evaristo, R., 2009: Microphysique et dynamique des systèmes précipitants en Afrique de l’Ouest. PhD Dissertation, University of Versailles.
- Matsui, T., B. Dolan, S.A. Rutledge, W. Tao, T. Iguchi, J. Barnum, and S.E. Lang, 2019: POLARRIS: A POLArimetric Radar Retrieval and Instrument Simulator, Journal of Geophysical Research: Atmospheres, 124, 4634-4657, https://doi.org/10.1029/2018JD028317.
- Mendrok, J., U. Blahak, J.C. Snyder, and J. Carlin, 2021: Implementation of radar polarimetry into the efficient modular volume scan radar forward operator EMVORADO, in preparation for Geoscientific Model Development.
- Oue, M., A. Tatarevic, P. Kollias, D. Wang, K. Yu, and A.M. Vogelmann, 2020: The Cloud-resolving model Radar SIMulator (CR-SIM) Version 3.3: description and applications of a virtual observatory, Geoscientific Model Development, 13, 1975-1998, https://doi.org/10.5194/gmd-13-1975-2020.
- Pejcic, V., C. Simmer, and S. Trömel, 2021: Polarimetric radar-based methods for evaluation of hydrometeor mixtures in numerical weather prediction models. In 2021 21st International Radar Symposium (IRS) (pp. 1-10), IEEE.
- Ryzhkov, A., M. Pinsky, A. Pokrovsky, and A. Khain, 2011: Polarimetric Radar Observation Operator for a Cloud Model with Spectral Microphysics, Journal of Applied Meteorology and Climatology, 50, 873-894, https://doi.org/10.1175/2010JAMC2363.1.
Status 2020
The work in the first year addresses the selection of convective and stratiform case studies (WP 1) as the useability of common hydrometeor classification schemes for model evaluation (WP 2) and the coding of clustering routine (WP 3). At the same time spheroids will be consolidated in EMVORADO based on existing code (WP 4) and an automatic generation mechanism of lookup tables for efficiency will be introduced (WP 5).
Contribution of University of Bonn
A first goal of the University of Bonn contribution to Operation Hydrometeors was the selection of case study days (convective and stratiform) and to apply hydrometeor classification schemes (HMC) for model evaluation to the selected events to build a reference (in preparation of WP 3) for the advanced radar-based hydrometeor typing (Grazioli et al. 2015, Besic et al. 2016). Conventional HMC suffer from: Uncertain of hydrometeor (HM) class properties defined by theoretical scattering simulations especially in solid phase (Tyynetla et al 2011), impact of radar observation accuracy on HM typing (Park et al. 2009), less represented HM class identified as dominant in HM mixtures due to disproportional impact on polarimetric variables. Furthermore, HMC schemes have different a-priori class definitions and numbers. Even the same classes of different HMC can be defined by different polarimetric properties, making comparability with modelled HM even more difficult. A direct comparison between modelled and measured variables cannot be made due to temporal and spatial shifts. Therefore, distributions of hydrometeors of several hours/days or of whole system evolutions are compared statistically. It also has to be investigated whether HMCs should be applied to gridded polarimetric moments or gridding of HMC output achieves more reliable results.
An in-depth evaluation of these problems has not been done so far and we present and discuss the first results of these.
The three selected radar-based classifications are those according to Dolan and Rutledge (2009) [HMCDR], Zrnic et al. (2001) adapted by Evaristo et al (2013) [HMCZE] and Thomson et al 2014 [HMCT]. The first is more for warm season and convective cases, HMCZE is for general cases and the third one is applicable to more stratiform winter precipitation. For example Figure 1 shows the differences of the HM typing in class definition and numbers, observed by the X-band radar in Bonn at 2013.07.01 at 15:40 UTC, which make a comparison with the six HM types (cloud water, rain, cloud ice, snow, graupel and hail) in COSMO/ICO-LAM challenging. Note also that each HMC also differs slightly in its methodology. For example, the HM can be classified with simple (Dolan and Rutledge 2009) or bivariate (Zrnic et a.l 2001) membership function. Thompson et al. 2014 first detects the melting layer that divides the precipitates into liquid, solid or mixed and afterwards classifies these regimes independently of each other.
Figure 1: Two-dimensional projection of horizontal reflectivity against differential reflectivity for the comparison of three HMC typing (left: HMCZE, middle: HMCDR, right: HMCT) applied on the data set of one RHI scan (2013.07.01, 15:40 UTC) of the X-band radar in Bonn (BoXPol). The colors indicates the specific HM types of the three different schemes.
Regarding the impact of the accuracy of radar measurements on HM typing in 100 realizations the polarimetric measurements of an event (2016.06.20 15:30 UTC) are perturbated with an error. For this purpose, we calculate the standard deviation (Ryzhkov and Zrnic 2019) of the error for each polarimetric variable, add a random perturbation from the associated Gaussian distribution to the measurements and determine the HM type with the disturbed measurements. The figure 2 shows the distributions of the HM types resulting from measurement disturbance for a given HM type from undisturbed measurement. Basically, measurement inaccuracies can result in misclassification of any HM type, but the probability that a certain type occurs depends on the HM class and HMC scheme.
Mainly measurements classified by HMCDR with No Rain are very often misclassified as Drizzel/Light Rain. In HMCZE No Rain is often misclassified with Light Rain and Light rain with Dry/Wet Snow and Crystals. Measurement inaccuracies at HMCZE lead to the fact that the misclassification takes place particularly strongly within the ice phase. With HMCDR, liquid HM are very often classified as wet snow.
Figure 2: Two-dimensional distribution of the HM types determined with Dolan and Rutledge 2009 (left) and Evaristo et al. 2013 (right) with 100 realizations applied to a PPI scan from 2016.06.20 15.30 UTC with perturbated polarimetric variables.
Contribution of Deutscher Wetterdienst
Work in the first year focused on extending DWD‘s operational radar forward operator (FO) EMVORADO, that can be online-coupled to NWP models COSMO and ICON, with the capability to calculate polarimetric parameters and to handle hydrometeors as spheroidal-shaped scatterers (WP-4). A prototype, based on third-party code (J. Snyder, NOAA), has been implemented. Spheroid shapes and orientations, which are not constrained by the NWP models, follow parametrizations given in Ryzhkov (2013), and scattering properties are derived using a T-Matrix approach. This implementation will serve as a basis for a refined, consistent implementation of EMVORADO-Pol flexible enough to handle arbitrary shaped and oriented particles for all hydrometeor classes (in preparation of WP-18).
Before further EMVORADO-Pol development, including the implementation of polarimetric lookup tables (WP-5), we are consolidating bulk microphysics and bulk scattering implementations in EMVORADO in order to handle 1- and 2-moment microphysics consistent in the FO (and avoid error-prone and hard-to-maintain duplicated code). Additionally, the University of Bonn has been supported by debugging and improving parts of their – in wait for EMVORADO-Pol - currently applied polarimetric forward operator BPFO. Furthermore, some sensitivity analyses (e.g. of the melting parametrization, see Figure) and comparison to a third polarimetric forward operator (J. Carlin, NOAA) have been performed with BPFO in the framework of evaluating melting layer and frozen hydrometeor microphysics in COSMO (early contributions to WP-14,15,19).
Figure 3: Histograms of simulated observable polarimetric radar parameters as function of height (model level) for two different melting parametrizations. Left: reflectivity in horizontal polarization ZH, middle: differential reflectivity ZDR, right: specific differential phase KDP. Bottom: Original BPFO scheme with many hardcoded parameters, latent heat flux induced, below-0C melting and dynamic estimate of the maximum temperature Tmax, where ice still exists. Top: BPFO with now user-contollable melting scheme parameters, set to Carlin-FO like values (no below-0C melting, fixed but hydrometeor type dependent Tmax). Grey lines indicate rough estimates of measurement uncertainty.
References
- Besic, N., J. Figueras i Ventura, J. Grazioli, M. Gabella, U. Germann, and A. Berne, 2016: Hydrometeor classification through statistical clustering of polarimetric radar measurements: a semi-supervised approach. Atmos. Meas. Tech., 9, 4425-4445.
- Dolan, B., and S.A. Rutledge, 2009: A theory-based hydrometeor identification algorithm for X-band polarimetric radars. J. Atmos. Oceanic Technol., 26, 2071–2088.
- Evaristo, R. , X. Xie, S. Trömel and C. Simmer, 2013: A holsitic view of precipitation systems freom macro- and microscopic perspective, 36th Conference on Radar Meteorology.
- Grazioli, J., D. Tuia, and A. Berne, 2015: Hydrometeor classification from polarimetric radar measurements: a clustering approach. Atmos. Meas. Tech., 8, 149–170, doi:10.5194/amt-8-149-2015.
- Park, H.S., A. Ryzhkov, D.S. Zrnic, and K.-E. Kim, 2009: The hydrometeor classification algorithm for the polarimetric WSR-88D: Description and application to an MCS. Wea. Forecasting, 24, 730–748, doi:10.1175/2008WAF2222205.1.
- Ryzhkov, A., M.R. Kumjian, S.M. Ganson, and A.P. Khain, 2013: Polarimetric Radar Characteristics ofMelting Hail. Part I: Theoretical Simulations Using Spectral Microphysical Modeling. J. Appl. Meteor. Climatol., 52, 2849–2870, DOI: 10.1175/JAMC-D-13-073.1.
- Ryzhkov, A. and D.S. Zrnic, 2019: Radar Polarimetry for Weather Observations, Springer Atmospheric Science, 198.
- Snyder, J. 2013: Observations and simulations of polarimetric weather radar signatures in supercells. PhD thesis. University of Oklahoma, 213 pp.
- Straka, J.M., D.S. Zrnić, and A. Ryzhkov, 2000: Bulk Hydrometeor Classification and Quantification Using Polarimetric Radar Data: Synthesis of Relations. J. Appl. Meteor., 39, 1341–1372.
- Thompson, E.J., S.A. Rutledge, B. Dolan, V. Chandrasekar, and B.L. Cheong, 2014: A Dual-Polarization Radar Hydrometeor Classification Algorithm for Winter Precipitation. J. Atmos. Oceanic Technol., 311457–1481, DOI: 10.1175/JTECH-D-13-00119.1.
- Tyynelä, J.,J. Leinonen, D. Moisseev, and T. Nousiainen, 2011: Radar Backscattering from Snowflakes: Comparison of Fractal, Aggregate, and Soft Spheroid Models. J. Atmos. Oceanic Technol., 28, 1365–1372, DOI: 10.1175/JTECH-D-11-00004.1.
- Zrnić, D.S., A. Ryzhkov, J. Straka, Y. Liu, and J. Vivekanandan, 2001: Testing a Procedure for Automatic Classification of Hydrometeor Types. J. Atmos. Oceanic Technol., 18, 892913.



