Understanding Ice Microphysical Processes by combining multi-frequency and spectral Radar polarImetry aNd super-parTicle modelling (IMPRINT)
Joint project between
Deutscher Wetterdienst (DWD) and University of Cologne, Phase 1
DWD: Jan-Niklas Welß (PhD student) and Axel Seifert (PI)
University of Cologne: Leonie von Terzi (PostDoc) and Stefan Kneifel (PI)
Abstract
Especially for ice- and mixed-phase clouds some of the fundamental details of the ice
microphysical processes such as depositional growth, aggregation, riming, secondary ice
generation, or melting are poorly understood. The goal of IMPRINT is to improve our ice
microphysical process understanding and their representation in numerical models using
multi-frequency spectral Radar polarimetric observations and Monte Carlo Lagrangian
particle modelling linked by a novel polarimetric 1D radar forward operator.
Status 2023
Contribution of University of Cologne
Despite the challenges with the pandemic, we successfully completed our two IMPRINT winter measurement campaigns (TRIPEx-pol, TRIPEx-scan) at the Jülich ObservatorY for Cloud Evolution Core Facility (JOYCE-CF, Löhnert et al. (2015)) and published a statistical analysis of the first campaign in a recent paper (von Terzi et al., 2022; Post-processed Data available at https://doi.org/10.5281/zenodo.6373320). In both campaigns, we combined triple-frequency (X-, Ka-, W-band) radar observations with polarimetric W-band measurements. All radars recorded the full radar Doppler spectra which allows to gain a much deeper insight into microphysical processes.
The statistical analysis presented in von Terzi et al., 2022 focuses on the fascinating radar signatures present in the so-called dendritic growth layer (DGL) located between -20 and -10°C. This region is of particular interest as crystal growth by deposition as well as aggregation is known from previous laboratory and radar studies to be particularly enhanced in this region (e.g., Connolly et al., 2012; Dias Neto et al., 2019; Takahashi 2014, among others). The combined dataset of multi-frequency and polarimetric radar observations allowed us to investigate the potential correlation between aggregate size and crystal growth in the DGL. For this, we used the maximum dual-wavelength ratios (DWR) in the DGL to sort each profile into different mean aggregate size classes. In a second step, we analyzed correlations and differences of the corresponding polarimetric and spectral radar observables. Some of the main findings are:
- The strength of the “slow-down” in the mean Doppler velocity (MDV) profile found at -15°C correlates with the mean aggregate size (Fig. 1 b). The spectral analysis revealed that the slow-down is caused by a combination of local updraft and the frequent formation of a second, slower spectral mode of newly formed ice crystals.
- The combined analysis of DWR, spectral ZDR (Fig. 1c), and KDP (Fig. 1d) enabled us to study the growth of small, asymmetric ice particles (such as dendrites) independent of the presence of aggregates. Surprisingly, this analysis indicated that despite ongoing aggregation, which should reduce the total number concentration of ice particles, the concentration increases towards the bottom of the DGL and even remains enhanced below the DGL down to the -4°C level.
A likely mechanism to explain the observed radar signatures are secondary ice processes, in particular ice collisional fragmentation. The details of this process and its role for the DGL are currently studied in phase II of PROM in the follow-on project FRAGILE. The radar observational basis for FRAGILE was collected during the second IMPRINT winter campaign (TRIPEx-scan, winter 2021/22), where we performed specific scan patterns specifically designed to study processes in the DGL.

Figure 1: Radar profiles classified by the maximum DWR within the DGL. Shown are a) DWR obtained from the vertically pointing Ka- and W-band radars, b) MDV at Ka-Band, c) maximum of the spectral ZDR and d) KDP. The polarimetric observations were obtained from a polarimetric Doppler W-Band radar at 30° elevation (see also original figures in von Terzi et al. 2022).
Contribution of Deutscher Wetterdienst (DWD)
Following on from the initial implementation, the explicit habit prediction has been extended: the hydrodynamic theory of Böhm (Böhm 1992a,b,c,1994,1999) shows some unphysical effects when particles change morphology from spherical to prolate shapes and vice versa. Using state-of-the-art laboratory data from McCorquodale & Westbrook (2021), we have developed an interpolation between prolate and cylindrical characteristics that improves the representation of terminal velocity.
By combining multiple data sets of the ventilation of individual, complex crystal shapes, we were able to derive a habit-dependent ventilation coefficient formulation (Fig. 2). Habit-dependent ventilation is particularly beneficial for prolate particles, where the ventilation effect is underestimated by the classical ventilation formulation.
Sensitivity studies were performed to better understand the interplay between the habit-dependent parameterisations and to allow for comprehensive case studies. The natural variety of shapes that develop when using an explicit habit prediction cannot be replicated by static mass-size relations and feeds directly back into the variety of terminal velocities (Fig. 3). Precipitation rates, in turn, depend on the dominant habit that evolves via the atmospheric conditions close to nucleation.
In collaboration with Vaughan Phillips (Lund University), the fragmentation parameterisation (Phillips 2017) has been revised to depend on particle properties rather than environmental conditions. This is a crucial step to exploit the laboratory results obtained in the cold chamber of the University of Mainz as part of the second phase of the FRAGILE project.

Figure 2: Left: Data points and functional dependencies of fb(Xv) for several studies. Right: Proposed functional habit-dependent description fv(𝜙). The aspect ratio of the assumed particles is color-coded.
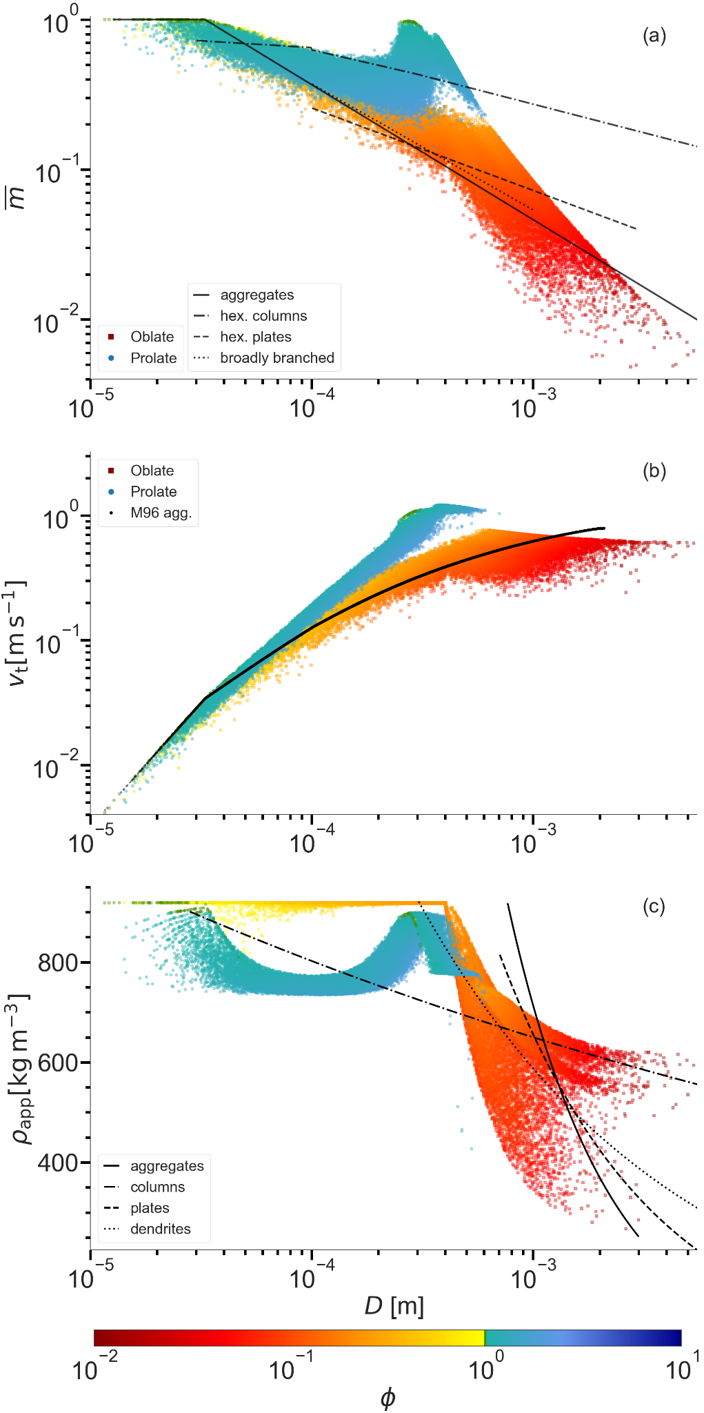
Figure 3: m-D (a), vt-D (b), and ρapp-D-relations © for two exemplary simulation setups favoring different primary habits. Markers represent the simulations using explicit habit prediction and the particles aspect ratio Φ is color-coded. Lines in (a) are empirical relations of Mitchell (1996) and in ( c ) from Pruppacher & Klett (1997).
Collaborative Work
The explicit habit prediction was validated using the polarizability ratio (Myagkov et al., 2016a,b). The comparisons showed some deficiencies, which were improved by modifications to the Inherent Growth Function (IGF) and coupling to the prediction of secondary habits with respect to branching. The modifications result in good agreement between the polarizability ratios of McSnow with laboratory results (Takahashi et al., 1991) as well as those obtained from observations (Fig. 4). More observational data may be needed to constrain the regions covered only by laboratory data, to confirm that the explicit habit prediction gives reasonable results for the highlighted temperature range.

Figure 4: T-dependence of polarizability ratios for ice crystals grown in the free-fall chamber (open grey triangles), with the modified habit prediction(IGF2+mod), and observed near cloud tops (black squares, error bars represent ±1 standard deviation). Color-coded is the particle's apparent density.
References
- Böhm, J. P.,1992a: A general hydrodynamic theory for mixed-phase microphysics. Part I: drag and fall speed of hydrometeors, Atmospheric Research, 27, 253 – 274, 1992a.
- Böhm, J. P, 1992b.: A general hydrodynamic theory for mixed-phase microphysics. Part II: collision kernels for coalescence, Atmospheric Research, 27, 275 – 290, 1992b.
- Böhm, J. P.,1992c: A general hydrodynamic theory for mixed-phase microphysics. Part III: Riming and aggregation, Atmospheric Research, 28, 103 – 123, 1992c.
- Böhm, J. P., 1994: Theoretical collision efficiencies for riming and aerosol impaction, Atmospheric Research, 32, 171 – 187, 1994.
- Böhm, J. P., 1999: Revision and clarification of “A general hydrodynamic theory for mixed-phase microphysics”, Atmospheric Research, 52, 167– 176, 1999.
- Connolly, P. J., Emersic, C., and Field, P. R., 2012: A laboratory investigation into the aggregation efficiency of small ice crystals, Atmos. Chem. Phys., 12, 2055–2076, 2012.
- Dias Neto, J., Kneifel, S., Ori, D., Trömel, S., Handwerker, J., Bohn, B., Hermes, N., Mühlbauer, K., Lenefer, M., and Simmer, C. 2019: The TRIple-frequency and Polarimetric radar Experiment for improving process observations of winter precipitation, Earth Syst. Sci. Data, 11, 845–863, 2019.
- Löhnert, U., Schween, J., Acquistapace, C., Ebell, K., Maahn, M., Barrera-Verdejo, M., Hirsikko, A., Bohn, B., Knaps, A., O’connor, E., Simmer, C., Wahner, A., and Crewell, S., 2015: JOYCE: Jülich observatory for cloud evolution, B. Am. Meteorol. Soc., 96, 1157–1174, 2015.
- McCorquodale, M. W. and Westbrook, C. D., 2021: TRAIL part 2: A comprehensive assessment of ice particle fall speed parametrisations, Quarterly Journal of the Royal Meteorological Society, 147, 605–626, 2021.
- Mitchell, D. L., 1996: Use of Mass- and Area-Dimensional Power Laws for Determining Precipitation Particle Terminal Velocities, Journal of the Atmospheric Sciences, 53, 1710–1723, 1996, https://journals.ametsoc.org/view/journals/atsc/53/12/1520-0469_1996_053_1710_uomaad_2_0_co_2.xml.
- Myagkov, A., Seifert, P., Bauer-Pfundstein, M., and Wandinger, U., 2016a: Cloud radar with hybrid mode towards estimation of shape and orientation of ice crystals, Atmospheric Measurement Techniques, 9, 469–489, 2016a.
- Myagkov, A., Seifert, P., Wandinger, U., Bühl, J., and Engelmann, R., 2016b: Relationship between temperature and apparent shape of pristine ice crystals derived from polarimetric cloud radar observations during the ACCEPT campaign, Atmospheric Measurement Techniques, 9, 3739–3754, 2016b.
- Phillips, V. T. J., Yano, J.-I., and Khain, A., 2017b: Ice Multiplication by Breakup in Ice–Ice Collisions. Part I: Theoretical Formulation, Journal of the Atmospheric Sciences, 74, 1705–1719, 2017b.
- Pruppacher, H. and Klett, J., 1997: Microphysics of Clouds and Precipitation, Springer Netherlands, 1997, https://doi.org/10.1007/978-0-306-48100-0.
- Takahashi, T., Endoh, T., Wakahama, G., and Fukuta, N., 1991: Vapor Diffusional Growth of Free-Falling Snow Crystals between -3 and −23◦C, Journal of the Meteorological Society of Japan. Ser. II, 69, 15–30, 1991, https://doi.org/10.2151/jmsj1965.69.1_15.
- Takahashi, T. , 2014: Influence of liquid water content and temperature on the form and growth of branched planar snow crystals in a cloud, J. Atmos. Sci., 71, 4127–4142, 2014.
- von Terzi, L., Dias-Neto, J., Ori, D., Myagkov, D., Kneifel, S., 2022: Ice microphysical processes in the dendritic growth layer: a statistical analysis combining multi-frequency and polarimetric Doppler cloud radar observations, Atmos. Chem. Phys., 22, 11795–11821, 2022.
Status 2021
Contribution of University of Cologne
As a major objective of the project, we successfully collected novel high-quality radar datasets, where triple-frequency Doppler spectra are combined with spectral W-Band polarimetry covering a large variety of winter clouds. The first of the two proposed campaigns (second campaign was delayed due to COVID-19 and is currently planned for winter 2021/22) was successfully carried out from Nov. 2018 until Jan. 2019 at the Jülich ObservatorY forCloud Evolution Core Facility (JOYCE-CF, Löhnert et al. (2015); see also Fig. 1). The quality-controlled and post-processed dataset allowed to develop new approaches for radar calibration using polarimetric Doppler spectra (Myagkov et al., 2020) and for estimating total path attenuation and multi-frequency relative calibration (Tridon et al., 2020). A new triple-frequency retrieval of the rain PSD (Mróz et al., 2020) has been developed, which also allowed to better understand the link between rainfall and snow properties aloft (Mróz et al., 2021).
An impression of the rich information content of the new combined dataset is given in Fig. 1 which is also discussed in more detail in Trömel et al., 2021. The KDP indicates a steep increase in ice particle concentration below the -15°C temperature level which continues down to the surface (note that KDP at W-band is 10 times more sensitive than at X-band). The strongest KDP also coincides with the detection of largest aggregate sizes in the dual-wavelength ratio (DWR). Particularly enlightening is the analysis of those observables as Doppler spectra, where a distinction to particles with different terminal velocities (often proportional to their size) can be obtained (Fig. 1d-e). We find that medium-sized aggregates fall from above and once reaching the -15°C level, a secondary, slow mode appears in the spectrum whose very large spectral ZDR values indicate that this mode is composed of plate-like crystals. Currently, we derive statistics of this feature including newly derived radar variables, such as the spectral edge velocity, to better understand which role for example secondary ice processes might play in explaining the observed signatures. For this analysis, we also profit from high-resolution (600m hor. res.) ICON-LEM simulations, which are available at UoC for the entire campaign. Improving the simulation of ice and snow particles (Karrer et al., 2020) and their scattering properties (Ori et al., 2021) enabled us to further develop our radar forward operator, which is the basis for model-observation statistics such as done for non-polarimetric multi-frequency data in Ori et al., 2020. For specific case studies, the new 1D Lagrangian super-particle model McSnow (Brdar and Seifert, 2018) is run in close collaboration with DWD, which has been extended within IMPRINT by a habit prediction scheme and parametrizations of secondary ice processes.
Figure 1: Combined triple-frequency and W-band polarimetric observations from a snowfall event observed on 22th Jan. 2019 at the JOYCE-CF site in Jülich, Germany: a) Dual-wavelength ratio (DWR) between Ka and W-band, b) differential reflectivity (ZDR) and c) specific differential phase (KDP) from the polarimetric W-band radar. Vertical profiles of Doppler spectra of DWR (d) and ZDR (e) and KDP (f) are shown as a function of in-cloud temperature. The time from which the spectra are taken is indicated by the vertical red dashed line in a)-c). Note that the polarimetric data have been observed at a constant elevation angle of 30°; all profiles have been projected to zenith to allow an easier comparison with the zenith observations of the three other radars (Figure from Trömel et al., 2021).
Contribution of Deutscher Wetterdienst (DWD)
At DWD the main focus is to improve cloud and precipitation schemes in atmospheric models based on process fingerprints detectable in polarimetric observations. While bulk microphysical schemes often lack details because of generalizations, Monte-Carlo Lagrangian particle models (LPMs) allow avoiding intrinsic errors caused by such assumptions. The DWD-developed LPM McSnow (Brdar and Seifert, 2018) allows the straightforward implementation of the current knowledge about microphysical processes and provides a way to track the growth history of particles.
We extended McSnow to allow the natural development of ice habits by depositional growth and riming to eliminate mass to diameter relationships (at least for primary ice particles) and constrain the behavior by comparing the resulting particle shape to the large polarimetric signal typically caused by the asymmetry of ice crystals. Since the manifoldness of ice crystal shapes is sheer endless, we assume them to be oblate or prolate spheroids. Figure 2 shows the influence of the ice habit on the particle’s ice mass after 10 minutes of depositional growth at constant temperature and water saturation. The comparison with wind tunnel measurements (blue open squares, Takahashi et al. 1991) makes it apparent that the assumption of a spherical particle can greatly underestimate ice masses and illustrates the need for an explicit habit consideration to capture the temperature-dependent growth regimes.
Figure 2: Temperature-dependent mass growth after 10 min of vapor deposition. The black line shows the results for a crystal that can grow asymmetrical, grey line for a spherical crystal. Blue open squares are measurements from Takahashi et al. (1991).
The initial atmospheric conditions at nucleation showed to be of special importance for the further development of the particle since they crucially influence the particle’s shape and therefore mass and lifetime. Primary crystals that initially developed into a certain shape (pro- or oblate) tend to only rarely change their habit even in unfavorable atmospheric regimes. This effect results in a thermo- and hydrodynamical feedback that influence the mass and therefore the lifetime essentially.
The coupling of McSnow and ICON is a crucial tool we are working with that helps to estimate the impact of the ice habit as well as the collision fragmentation in 2D/3D simulations. To better understand the impact, a recent parameterization of ice particle collisional fragmentation (Phillips et al., 2017) has been implemented into McSnow, complementing already included secondary ice processes, such as rime splintering. Only in real case setups the full spectrum of hydro- and thermodynamical feedbacks is present and therefore unveils the full impact.
Collaborative work
To compare the habit-affected simulations with observations, the results have to be transferred from model to observational space via a forward operator. An example of forward simulated radar polarimetric spectra and moments based on the new habit prediction implemented in McSnow is shown in Figure 3. Currently, those simulations are being refined and extended to better understand the origin and cause of observed aggregation signatures as presented for example in Figure 1.
Figure 3: Example 1D simulation with McSnow and the newly implemented habit prediction scheme: In a) one can see how the particle concentration of single crystals decreases due to aggregation. The model output was then used to simulate polarimetric moments and spectra: (b) KDP , © ZDR , and (d) Doppler spectra of ZDR.
In the last phase of IMPRINT, we now have all tools at hand to investigate specific microphysical processes by trying to reproduce common observational features, such as the rapid aggregation occurring at -15°C (see Fig. 1), with the new habit-dependent McSnow model. Our ongoing simulation studies strongly hint at secondary ice processes being highly relevant for explaining the observed radar signatures. In an upcoming cooperation with V. Phillips (Lund University) we plan to extend the parameterization for collisional fragmentation due to the addition of a dependency of the number of fragments released in every fragmentation on habits of the collision pair.
References
- Brdar, S. and Seifert, A., 2018: McSnow: A Monte‐Carlo particle model for riming and aggregation of ice particles in a multidimensional microphysical phase space. Journal of advances in modeling earth systems, 10(1), pp.187-206. DOI: 10.1002/2017MS001167.
- Karrer, M., Seifert, A., Siewert, C., Ori, D., von Lerber, A. and Kneifel, S., 2020: Ice particle properties inferred from aggregation modelling. Journal of Advances in Modeling Earth Systems, 12(8), p.e2020MS002066. DOI: 10.1029/2020MS002066.
- Kneifel, S. and Moisseev, D., 2020: Long-term statistics of riming in nonconvective clouds derived from ground-based Doppler cloud radar observations. Journal of the Atmospheric Sciences, 77(10), pp.3495-3508. DOI: 10.1175/JAS-D-20-0007.1.
- Löhnert, U., Schween, J.H., Acquistapace, C., Ebell, K., Maahn, M., Barrera-Verdejo, M., Hirsikko, A., Bohn, B., Knaps, A., O’connor, E. and Simmer, C., 2015: JOYCE: Jülich observatory for cloud evolution. Bulletin of the American Meteorological Society, 96(7), pp.1157-1174. DOI: 10.1175/BAMS-D-14-00105.1.
- Mech, M., Maahn, M., Kneifel, S., Ori, D., Orlandi, E., Kollias, P., Schemann, V. and Crewell, S., 2020: PAMTRA 1.0: the Passive and Active Microwave radiative TRAnsfer tool for simulating radiometer and radar measurements of the cloudy atmosphere. Geoscientific Model Development, 13(9), pp.4229-4251. DOI: 10.5194/gmd-13-4229-2020.
- Mróz, K., Battaglia, A., Kneifel, S., D'Adderio, L.P. and Dias Neto, J., 2020: Triple‐Frequency Doppler Retrieval of Characteristic Raindrop Size. Earth and Space Science, 7(3), p.e2019EA000789. DOI: 10.1029/2019EA000789.
- Mróz, K., Battaglia, A., Kneifel, S., von Terzi, L., Karrer, M. and Ori, D., 2021: Linking rain into ice microphysics across the melting layer in stratiform rain: a closure study. Atmospheric Measurement Techniques, 14(1), pp.511-529. DOI: 10.5194/amt-14-511-2021.
- Myagkov, A., Kneifel, S. and Rose, T., 2020: Evaluation of the reflectivity calibration of W-band radars based on observations in rain. Atmospheric Measurement Techniques, 13(11), pp.5799-5825. DOI: 10.5194/amt-13-5799-2020.
- Ori, D., Schemann, V., Karrer, M., Dias Neto, J., von Terzi, L., Seifert, A. and Kneifel, S., 2020: Evaluation of ice particle growth in ICON using statistics of multi‐frequency Doppler cloud radar observations. Quarterly Journal of the Royal Meteorological Society, 146(733), pp.3830-3849. DOI: 10.1002/qj.3875.
- Ori, D., von Terzi, L., Karrer, M. and Kneifel, S., 2020: snowScatt 1.0: Consistent model of microphysical and scattering properties of rimed and unrimed snowflakes based on the selfsimilar Rayleigh-Gans Approximation, Geosci. Model Dev. Discuss. Geoscientific Model Development Discussions, pp.1-33. DOI: 10.5194/gmd-14-1511-2021.
- Phillips, V.T., Yano, J.I. and Khain, A., 2017: Ice multiplication by breakup in ice–ice collisions. Part I: Theoretical formulation. Journal of the Atmospheric Sciences, 74(6), pp.1705-1719. DOI: 10.1175/JAS-D-16-0224.1.
- Takahashi, T., Endoh, T., Wakahama, G. and Fukuta, N., 1991: Vapor diffusional growth of free-falling snow crystals between-3 and-23 C. Journal of the Meteorological Society of Japan. Ser. II, 69(1), pp.15-30. DOI: 10.2151/jmsj1965.69.1_15.
- Tridon, F., Battaglia, A. and Kneifel, S., 2020: Estimating total attenuation using Rayleigh targets at cloud top: applications in multilayer and mixed-phase clouds observed by ground-based multifrequency radars. Atmospheric Measurement Techniques, 13(9), pp.5065-5085. DOI: 10.5194/amt-13-5065-2020.
- Trömel, S., Simmer, C., Blahak, U., Blanke, A., Ewald, F., Frech, M., Gergely, M., Hagen, M., Hörnig, S., Janjic, T., Kalesse, H., Kneifel, S., Knote, C., Mendrok, J., Moser, M., Möller, G., Mühlbauer, K., Myagkov, A., Pejcic, V., Seifert, P., Shrestha, P., Teisseire, A., von Terzi, L., Tetoni, E., Vogl, T., Voigt, C., Zeng, Y., Zinner, T., and Quaas, J., 2021: Overview: Fusion of Radar Polarimetry and Numerical Atmospheric Modelling Towards an Improved Understanding of Cloud and Precipitation Processes, Atmos. Chem. Phys. Discuss., DOI: 10.5194/acp-2021-346, in review.
Status 2020
Contribution of University of Cologne
The contribution from the University of Cologne focuses on multi-frequency spectral Radar
polarimetric Observations and the polarimetric 1D radar forward operator. The first of two
proposed winter campaigns (TRIPEx-pol) took place in Jülich from 1st Nov. 2018 until 19th
Feb. 2019. During the campaign, vertically pointing X-Band, Ka-Band and W-Band Doppler
radars as well as a scanning polarimetric W-Band radar were installed at the Jülich
ObservatorY for Cloud Evolution – Core Facility (JOYCE-CF) (see Figure 1).
These measurements were complemented by the two polarimetric X-Band radars stationed in Bonn
and the Sophienhöhe and by 20 Radiosondes launched during the campaign. A first look at
the dataset shows that the measurement setup is capable to capture ice microphysical
processes: the polarimetric moment differential radar reflectivity ZDR in Figure 2 shows
aggregation at around 14-16 UTC below 3000m (small values of ZDR), whereas the
enhancement of the differential specific phase shift KDP in the same period indicates the
presence of small, asymmetric particles. The spectral ZDR and spectral dual-wavelength
ratio DWR Ka-W allow to look at the smaller particles present (to which the moments of ZDR
and Ze are insensitive as soon as larger particles dominate the signal). Looking at Figure 3,
the spectral DWRs clearly indicate aggregation in the height region associated with
temperatures between -10 and -8°C. The Doppler spectra also show a widening just below
-16°C, which might indicate secondary ice production at this height. Simultaneously, the
spectral ZDR shows a large amount of small particles appearing below -16°C, that can be
consistently observed in the measurement volume down to the ground.
In order to get the most information from the available dataset, it is currently reprocessed
and quality-controlled following the approach described in Dias Neto et al 2019.
Furthermore, nested, high-resolution ICON-LEM simulations have been conducted for the
entire campaign. The multifrequency radar moments forward modeled with Pamtra such as
the equivalent radar reflectivity factor Ze or the mean Doppler velocity show a good
agreement with the observations and provide a good starting point for analysing the ice
microphysics implemented in the model.
Figure 1: measurement setup at JOYCE-CF during the TRIPEx-pol campaign.
Figure 2: Differential reflectivity ZDR (top panel) and differential specific phase shift KDP (bottom panel) at an elevation angle of 30° measured with the polarimetric W-band radar stationed at JOYCE-CF during the TRIPEx-pol campaign.
Figure 3: Spectral dual-wavelength ratio DWR Ka-W (left panel) and spectral ZDR (right panel). Negative Doppler velocities (DV) denote a downward motion of the observed particles.
Contribution of Deutscher Wetterdienst (DWD)
At DWD the main focus is to improve cloud and precipitation schemes in atmospheric models based on process fingerprints detectable in polarimetric observations. While bulk microphysical schemes often lack details because of generalizations, Monte-Carlo Lagrangian particle models (LPMs) allow avoiding intrinsic errors caused by such assumptions. The DWD-developed LPM McSnow (Brdar and Seifert, 2018) allows the straightforward implementation of the current knowledge about microphysical processes and provides a way to track the growth history of particles. One key assumption still exists in analytical or empirical mass to diameter relationships that try to generalize particle habits and therefore determine their sedimentation velocity.
By extending McSnow to allow the natural development of ice habits by depositional growth and riming, we eliminate these relationships (at least for primary ice particles) and can constrain the behavior by comparing the particle shape to the large polarimetric signal typically caused by the asymmetry of ice crystals. Since the manifoldness of ice crystal shapes is sheer endless, we assume them to be oblate or prolate spheroids. Figure 4 shows the influence of the ice habit on the mass of a particle after 10 minutes of depositional growth at constant temperature and water saturation. The comparison with wind tunnel measurements makes it apparent that the assumption of a spherical particle greatly underestimates ice mass and illustrates the need for an explicit habit consideration to capture the temperature-dependent growth regimes.
The initial conditions at nucleation are important for the development of the particle, since they crucially influence mass, shape, and lifetime. An example of the variability invoked by the ice habit is shown in Figure 5. Identical particles were nucleated every 5 meters in an idealized atmosphere. Depending on the conditions at nucleation, the individual lifetime differs strongly (first plot). The lifetime is determined by the particle shape (third plot; Φ < 1 plate-like, Φ > 1 column-like) which strongly influences ice mass and sedimentation velocity (second and fourth plot).
Further extensions to the model are habit specific riming that allows the formation of graupel from columns, and plates, a habit-specific aggregation process, as well as secondary ice production mechanisms like rime splintering and freezing fragmentation.
Figure 4: Temperature-dependent mass growth after 10 min of vapor deposition. The black line shows the results for a crystal that can grow asymmetrical, grey line for a spherical crystal. Blue open squares are measurements from Takahashi et al. (1991).
Figure 5: Time series of height z, mass m, aspect ratio Φ, and terminal velocity vt for particles released every 5m between 3000m and 5000m altitude.
References
- Brdar, S., and A. Seifert, 2018: McSnow: A Monte-Carlo Particle Model for Riming and Aggregation of Ice Particles in a Multidimensional Microphysical Phase Space.” Journal of Advances in Modeling Earth Systems 10 (1): 187–206. doi: 10.1002/2017MS001167.
- Dias Neto, J., Kneifel, S., Ori, D., Trömel, S., Handwerker, J., Bohn, B., Hermes, N., Mühlbauer, K., Lenefer, M. and Simmer, C., 2019: The TRIple-frequency and Polarimetric radar Experiment for improving process observations of winter precipitation. Earth System Science Data, 11(2), pp.845-863.




